Solovieva Yulia 1*, Pelayo-González Héctor J1, Méndez-Balbuena Ignacio1, Machinskaya Regina2, Morán Grecia A
1Facultad de Psicología, Maestría en Diagnóstico y Rehabilitación Neuropsicológica, Universidad Autónoma de Puebla, México. 2Instituto de Fisiología del Desarrollo, Academia de Ciencias Pedagógicas de Rusia, Moscú, Rusia.
Resumen/Abstract
Introducción
Material y métodos
Resultados
Discusión
Agradecimientos
Referencias
Correspondencia
El objetivo del presente estudio fue correlacionar los datos obtenidos a través de la evaluación neuropsicológica y el registro electroencefalográfico (EEG) en alumnos mexicanos de escuela primaria (1ro-3ro) con diagnóstico de trastorno de déficit de atención (TDA). Se utilizó el método de análisis sindrómico cualitativo del estado funcional de los mecanismos cerebrales del nivel cortical y subcortical para los datos neuropsicológicos. Los datos del registro EEG se analizaron por medio del método cualitativo visual, el cual permite valorar el nivel de funcionalidad y madurez de las estructuras corticales y subcorticales. Los resultados mostraron la ausencia de un cuadro clínico único de dificultades neuropsicológicas con un único patrón afectado en el EEG. Se discute un alto nivel de coincidencia clínica de los datos del análisis neuropsicológico y del EEG cualitativo, cuya combinación interdisciplinaria presentó un estado de madurez y funcionalidad de diferentes estructuras cerebrales con las manifestaciones clínicas observadas. Las conclusiones sugieren un importante nivel predictivo obtenido por medio del análisis y el trabajo conjunto de dichas herramientas de valoración clínica.
Palabras clave: Déficit de atención, Diagnóstico neuropsicológico, Diagnóstico cualitativo, EEG.
The goal of the present study was to establish correlations between data of neuropsychological and electrophysiological (EEG) assessment in Mexican school children with diagnosis of ADD. Pupils of first, second and third school grades of primary school were included in the study. The methods of assessment were qualitative syndromic analysis of clinic data and qualitative visual method for valuation of EEG. Such methods allow finding of correlations between functional involvement of subcortical and cortical brain levels and the state of maturation of different brain levels. The results showed the absence of unique clinic picture in all assessed children. Different levels of subcortical regulation and dysfunctional state of right hemisphere were determined. The authors discuss the importance of combining of methods of neuropsychological and EEG assessment in cases of ADD. The conclusions suggest important predictive level of joint interdisciplinary collaboration between developmental neuropsychology and electrophysiology.
Key words: Attention deficit disorder, Neuropsychological assessment, Cualitative assessment, EEG.
En la actualidad diversos estudios han contribuido a la descripción detallada del cuadro clínico que presentan los niños con trastorno del déficit de atención (TDA), no sólo en cuanto a la afección de la atención, sino también de otros procesos psicológicos.1-7
Algunos autores han correlacionado el cuadro clínico del TDA con posibles alteraciones en estructuras del sistema nervioso.8, 9 La mayoría de los estudios coinciden en señalar que en los casos de TDA se observa un compromiso de los lóbulos frontales, ya sea a través del flujo sanguíneo regional, tomografía por emisión de positrones o imagen por resonancia magnética nuclear. Así mismo, se ha planteado un posible compromiso del hemisferio derecho en los casos del TDA.10,11
Para el paradigma cognitivo, el TDA es reflejo de una disfunción ejecutiva, específicamente, un déficit para el control inhibitorio conductual, así mismo, se considera que el deficiente rendimiento cognitivo del TDA es subsidiario de un déficit primario en las funciones ejecutivas.12 Específicamente, se aprecia el siguiente perfil neuropsicológico: un bajo rendimiento en la población con TDA en tareas de planificación, de inhibición, de flexibilidad cognitiva, de fluidez verbal de memoria de trabajo, entre otras.3,13-15
El constructo cognitivo de funciones ejecutivas se ha adoptado como un descriptor general de la conducta asociada al funcionamiento de los lóbulos frontales, aunque la actividad de la corteza frontal incluye funciones no relacionadas con el rendimiento ejecutivo y de forma similar, el funcionamiento ejecutivo requiere además, de estructuras distintas a la corteza frontal.3,16,17Evolutivamente se establece que la adecuada adquisición de las funciones ejecutivas está estrechamente vinculada al desarrollo anatómico y funcional de la corteza prefrontal.18
En el paradigma histórico-cultural la función atencional es un proceso de control interno de selección y dirección que se relaciona con otras funciones psicológicas: memoria, percepción, lenguaje y pensamiento.19 Este control se forma durante la vida del niño desde el plano de las actividades externas.20Por tanto se asume que la atención se encuentra en cada actividad del ser humano y su alteración afecta todas las actividades complejas voluntarias que requieren una estructura selectiva, así como programas de acción complejos y sucesivos para el cumplimiento exitoso.
Desde este enfoque se intenta establecer relaciones entre los rendimientos neuropsicológicos y los resultados derivados de estudios que tienen el objetivo de evaluar la integridad del sistema nervioso central. Por tanto, se ha documentado que los niños preescolares con problemas de regulación y control manifiestan un estado funcional desfavorable de los sistemas regulatorios asociados al sistema fronto-talámico, el cual garantiza las influencias horizontales y verticales desde los lóbulos frontales hacia otros sectores corticales y subcorticales.21-25
Es relevante considerar que las desviaciones del estado funcional de los sistemas regulatorios conducen a problemas conductuales cualitativamente distintos en diferentes edades. La detección temprana y adecuada de las diferencias individuales y de las particularidades del desarrollo, puede garantizar una corrección puntual y ayudar a prevenir posibles problemas en el aprendizaje escolar.
Se puede considerar, entonces, que el TDA como patología del neurodesarrollo se caracteriza por el estado funcional no óptimo de los sistemas cerebrales que garantizan la regulación y a su vez dificultan la consolidación de la maduración frontal, por tanto, no se permite la asimilación del proceso de programación, planeación y control de toda la actividad del niño.21
La presente investigación tiene como objetivo caracterizar los tipos de errores en diversas tareas neuropsicológicas de niños escolares diagnosticados con TDA, de igual forma, se pretende correlacionar los resultados de la evaluación neuropsicológica y electroencefalográfica en este grupo de niños.
2.1. Sujetos
En el estudio se incluyeron 20 niños (18 niños y 2 niñas) diagnosticados con TDA entre 7 y 9 años que cursaban 1ro, 2do y 3er grado de escuela primaria regular urbana en la ciudad de Puebla, México. El diagnóstico de TDA fue establecido y confirmado por escrito por un especialista externo (paidopsiquiatra o neurólogo). Para el establecer el diagnóstico de TDA, los especialistas únicamente utilizaron los criterios conductuales señalados en el manual DSM IV-TR.26
Todos los niños participaron de acuerdo con la declaración de Helsinki, con la comprensión y consentimiento informado de cada uno de los padres y maestros de la escuela, así como de la aprobación del comité de ética local, conformado en la Facultad de Psicología de la Universidad Autónoma de Puebla, con clave de registro TDA/EEG2015posgrado.
2.2. Instrumentos
Los participantes fueron registrados con un equipo de EEG convencional (Nicolet Viking - NicView) con frecuencias de muestreo de 250 Hz y de acuerdo al sistema internacional 10-20 en las siguientes regiones corticales: F3, F4, F7, F8, T3, T5, T4, T6, P3, P4, O1, O2. El registro se llevó a cabo en condiciones de vigilia realizando las siguientes maniobras: a) apertura y cierre ocular, b) foto-estimulación (8-12 Hz), c) hiperventilación (90 segundos). Se hicieron registros mediante montajes bipolares y monopolares, lo cual permite apreciar los cambios de la actividad eléctrica cerebral de origen tanto subcortical (montaje monopolar), como cortical (montaje bipolar).
2.3. Procedimiento
A todos los niños se les aplicó la evaluación neuropsicológica clínico-cualitativa en una sesión individual de 60 minutos dentro de la escuela en un horario extraescolar. Posteriormente, cada niño asistió al registro del EEG.
Se empleó la pruebaneuropsicológica breve infantil, diseñada para población mexicana en edad escolar y que contiene parámetros de rendimiento clínimétricos. La prueba valora diversos mecanismos cerebrales que representan las características de funcionamiento de la actividad cognoscitiva: nivel de activación general (arousal), capacidad de reconocimiento propioceptivo, organización secuencial y consecutiva del movimiento, análisis y síntesis espacial, regulación y control de la actividad y retención en modalidades táctil, auditiva y visual.
El estudio electroencefalográfico fue realizado en la sede clínica de la Universidad Autónoma de Puebla. Se les pidió a los niños que llegarán desde las ocho de la mañana, con la finalidad de que hubiera homogeneidad de horario y evitar diferencias asociadas a éste. A cada niño se le pidió que cerrara los ojos sin dormirse y que permaneciera los más tranquilo posible con la finalidad de tomar el registro electroencefalográfico con el menor número de artefactos posible (movimiento de cuerpo y apertura de ojos).
Los resultados de ambasevaluaciones fueron analizados y contrastados con el objetivo de comparar sus datos para intentar establecer una correspondencia desde el punto de vista clínico neuropsicológico con los patrones electroencefalográficos particulares.
2.4. Análisis y Valoración Clínico-Cualitativo Visual del EEG
La valoración del estado funcional y del grado de madurez cerebral se realizó a través del análisis cualitativo visual del EEG por parte de expertos en electrofisiología clínica y se basó en la correlación de los trazos identificados en el registro del EEG con el estado de madurez y funcionalidad en las estructuras cerebrales específicas.27
Se identificaron y valoraron los patrones electroencefalográficos a partir de cuatro bloques identificados con base a la concepción de la organización sistémica del cerebro. Dichos parámetros permiten valorar el estado funcional de la corteza cerebral y su relación con la norma de edad, efectos cerebrales generales, presencia o ausencia, en cada caso analizado, de patrones desviados locales y el estado de los sistemas regulatorios subcorticales.28,29
2.5. Evaluación Neuropsicológica
Para la valoración neuropsicológica infantil breve se utilizó un instrumento30 derivado de la propuesta de Vygotsky31 y Luria.32 Estos autores han sentado las bases de aproximación neuropsicológica clínica cualitativa, la cual no presupone uso de pruebas psicométricas estandarizadas. La evaluación se basa en análisis de las ejecuciones del niño obtenido durante la realización de las tareas de evaluación, así como diversos aspectos procesuales, como posibilidad de retomar o rechazar las ayudas, posibilidades de autocrítica y autocorrección, grado de automatización de las tareas propuestas, etc.33,34 La prueba incluye tareas diseñadas para evaluación del funcionamiento activación cerebral general, capacidad de reconocimiento propioceptivo, organización secuencial y consecutiva del movimiento, análisis y síntesis espacial, regulación y control de la actividad y retención en distintas modalidades. La participación del niño en estas tareas permite apreciar el estado funcional de sectores corticales y niveles subcorticales. Las ejecuciones de los niños se analizan de acuerdo a la presencia y ausencia de errores/dificultades y rasgos conductuales y procesuales que señalan déficit funcional en relación con cada mecanismo cerebral.
3.1. Análisis cualitativo del EGG en los niños con TDA
El análisis cualitativo visual del EEG permitió identificar el estado funcional óptimo o deficiente de los sistemas regulatorio de la corteza cerebral y de las estructuras subcorticales a partir de presencia o ausencia de patrones desviados características de la actividad eléctrica cerebral. En ninguno de los 3 grupos establecidos se han detectado rasgos relacionados con estado de inmadurez cortical genera o patologías cerebrales generales. Por lo contrario, se han observado rasgos de estado funcional desfavorable en diversos niveles del tronco cerebral, así como patrones desfavorables locales.35-38 El análisis de los 20 niños con TDA, permitió dividirlos en 4 grupos (Figura 1).

Figura 1. Distribución de casos de acuerdo a parámetros de patrones electroencefalográficos predominantes. Se muestra el número de casos por grupo de acuerdo al análisis cualitativo visual del EEG 1. Debilidad en el sistema de regulación fronto-talámica (6 niños), 2. Déficit de activación no específica (7 niños) 3. Sistema de regulación fronto-talámica y déficit de activación no específica (4 niños) y 4. Estado disfuncional del hemisferio derecho (3 niños).
Los pacientes del grupo 1 (6 niños), se caracterizaron por la presencia de ondas lentas sobre la banda theta, en las regiones fronto-centrales registradas simultáneamente en ambos hemisferios. Los pacientes del grupo 2 (7 niños) mostraron fenómeno de hipersincronización de ondas agudas sobre la banda theta en las regiones posteriores de ambos hemisferios. Los pacientes del grupo 3 (4 niños), tuvieron periodos de sincronización de ondas lentas sobre la banda theta en las regiones parietales de ambos hemisferios, así como periodos de ondas lentas theta fronto-temporal bilateral, es decir, se observó aparición simultánea en cada caso de los patrones del grupo 1 y del grupo 2. La presencia de patrones bilaterales sincronizados en los niños de estos 3 grupos permite juzgar acerca del origen subcortical de los patrones desviados.
Finalmente, el grupo 4 (3 niños), tuvo periodos cortos con patrones de ondas lentas sobre la banda theta en regiones parietales-centrales del hemisferio derecho únicamente; la presencia unilateral derecha permite apreciar el origen local de estos patrones.
Cabe señalar que los niños sin diagnóstico del déficit de atención de las mismas edades no presentan dichos patrones desviados en los registros electroencefalográficos, como lo han mostrado los estudios previos.35-38
3.2. Análisis Neuropsicológico
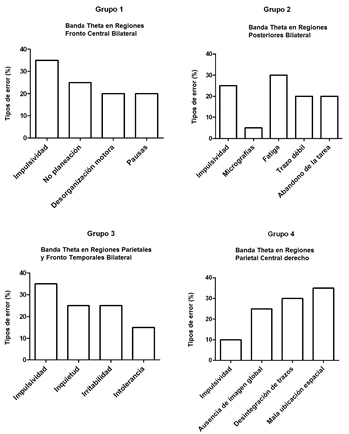
El análisis cualitativo de los errores cometidos por los niños con TDA durante la evaluación neuropsicológica, permitió identificar tipos de errores específicos (Figura 2).

Figura 2.Distribución de fenómenos neuropsicológicos por cuatro grupos identificados a partir de EEG. Los participantes del grupo 1 tuvieron trazos electroencefalográficos relacionados a la debilidad en el sistema fronto-talámico (SF-T), el grupo 2 son aquellos que tuvieron déficit de activación no específica (DAnE), el grupo 3 se refiere a la combinación de trazos relacionados con SF-T y DAnE y el grupo 4 al estado disfuncional del hemisferio derecho.
El análisis clínico-cualitativo permitió analizar las características (presencia y ausencia de errores y dificultades) obtenidas durante la evaluación neuropsicológica en relación con el funcionamiento de los bloques cerebrales propuestos por Luria39 que se presentan a continuación:
I. Bloque de activación cerebral inespecífica o de fondo de trabajo cerebral (tono): relacionado con el trabajo de estructuras subcorticales.
II. Bloque de análisis y procesamiento de la información de diversas modalidades: relacionado con el trabajo de los sectores corticales posteriores.
III. Bloque de programación y control, relacionado con el funcionamiento de las estructuras cerebrales anteriores: lóbulos frontales y estructuras subcorticales.
El análisis cualitativo de las ejecuciones de los niños reveló que los niños diagnosticados con TDA no presentaron disfunciones relacionadas sólo con uno de los bloques funcionales, sino se pudieron identificar las dificultades relacionados con diversos niveles cerebrales, lo cual se especifica a continuación.
Respecto al sistema de activación general cerebral tónica perteneciente al primer bloque funcional, los principales errores que se presentaron fueron lentificación, interrupción del trazo, abandono de la tarea, fatiga, micrografías, latencias, trazo débil, cambio de tamaño de los elementos durante la ejecución, simplificación e impulsividad. La alteración en este bloque afectó de manera general el tiempo óptimo en que el niño se mantenía motivado, atento y dispuesto a realizar las tareas (7 niños del grupo 2 de acuerdo con los parámetros electroencefalográficos).
El segundo bloque funcional encargado del análisis y procesamiento de la información de diversas modalidades también se vio comprometido en los niños evaluados, ya que las principales tareas que se vieron afectadas fueron las relacionadas con tareas de dibujo. Los principales errores se relacionaron a la ausencia de características esenciales, asimetrías, desproporciones, alteración de la forma, simplificación, ausencia de la imagen global y mala ubicación de elementos que conforman una figura, así como rotación de figuras. La inmadurez de las zonas terciarias anteriores también afecta a este tipo de tareas, ya que es común que se observen trazos perseverativos, introducción de elementos ajenos a la tarea, desorganización y falta de planeación en el trazo (3 niños del grupo 4 y 4 niños del grupo 3).
Por último, encontramos que también hubo dificultades relacionadas con el trabajo del tercer bloque funcional encargado de la programación y el control. Los niños presentan ausencia de planeación, verificación/corrección de sus ejecuciones, impulsividad ya que es común que se anticipe a la instrucción, dificultad para respetar turnos, lenguaje excesivo que desorganiza la actividad en curso y en ocasiones este mismo lenguaje excesivo, propicia la introducción de elementos ajenos a la tarea, por otro lado, observamos que el lenguaje del adulto no es capaz de regular la actividad del niño, lo cual hace imposible que la ayuda que se le brinda tenga un efecto positivo en el resultado final de la tarea. En algunos casos, los niños se rehusaron a realizar las actividades que se les proponían (6 niños del grupo 1).
Por tanto, los tipos de errores que se describen de acuerdo a los bloques funcionales, se integraron de acuerdo al funcionamiento de cuatro factores neuropsicológicos: regulación y control de la actividad, tono de activación (arousal), análisis y síntesis espacial, así como organización secuencial de movimientos.40 Es importante reconocer que los cuatro grupos tienen diferente desempeño en los factores que se mencionaron, como lo muestra la figura 3.

Figura 3.Manifestación de dificultades neuropsicológicas por cada grupo. S F-T=sistema fronto talámico, DAnE=déficit de actividad no específica, S F-T y DanE=sistema fronto-talámico con déficit de actividad no específica y HD= Hemisferio derecho. Se aprecia que el factor de Regulación y Control tiene un alto nivel de compromiso en los cuatro grupos.
Durante la escuela primaria, la actividad cognoscitiva de los niños cambia cualitativamente en el contexto educativo. A los siete años de edad, se alcanza una nueva etapa que permite al niño un desarrollo mental progresivo. Durante este período se necesita de un nivel óptimo de maduración de la estructura cerebral junto con mejoras en los métodos educativos.23,25,29,41
En México cada vez es más común encontrar en el ámbito escolar niños que son diagnosticados con déficit de atención. Hoy en día, los profesores están más sensibles para detectar niños que presentan dificultades en el salón de clase, una vez detectado, los profesores recomiendan a los padres realizarle al niño una evaluación para determinar “si tienen o no déficit de atención” Una vez, que la evaluación determina que el niño presenta este déficit, poco queda por hacer, ya que las únicas opciones que tienen los padres, es someter al niño a tratamiento farmacológico, para que disminuya su hiperactividad o su inatención. Sin embargo, padres y profesores, reportan no observar mejorías en estos niños. Al no ver cambios positivos en los niños, los profesores van rezagando al niño con TDA, y las dificultades cada vez se hacen más graves. En México, esta realidad es muy común para los niños que padecen este trastorno.42
En los últimos años el síndrome de déficit de atención ha sido abordado desde varias disciplinas científicas, las cuales tratan de explicar el origen de este trastorno, así mismo, constantemente salen al mercado fármacos de nueva generación, los cuales pretenden controlar de forma más eficaz los síntomas que observamos en estos niños. Sin embargo, los métodos de intervención no sufren modificaciones significativas y se reducen a una medicación prácticamente global de todos los niños de diversas edades y características clínicas que se engloban en el diagnóstico unificador del déficit de atención. Los enfoques cognitivo-conductuales, sin contar con un análisis clínico detallado, se centran sólo en tratar de mejorar algunos aspectos conductuales, emocionales o familiares, que no necesariamente son los subyacentes de las dificultades que los niños presentan.21,41,43
La evaluación neuropsicológica cualitativa tuvo el propósito de conocer los mecanismos cerebrales corticales y subcorticales que subyacen al TDA en la edad escolar menor, lo cual permitió observar ausencia de un único tipo de dificultades que los niños presentan. Se ha observado la predominancia de dificultades en regulación y control (grupo 1), con el tono de activación cerebral general (grupo 2), presencia simultanea de ambas dificultades tanto en regulación y control, como en activación general (grupo 3) y dificultades espaciales (grupo 4). Dichas dificultades fueron correlacionadas con la presencia de patrones desviados en los registros electroencefalográficos en los niños participantes, lo cual, a su vez, permitió observar ausencia de un único patrón electoencefalográfico en todos los niños. En los niños del grupo 1 con dificultades en regulación y control se observaron patrones de origen fronto-talámico; en niños del grupo 2 con problemas de activación se presentaron patrones de origen de tronco inferior; en niños del grupo 3 se presentaron los patrones de los grupos 1 y 2, mientras que en niños del grupo 4 con problemas espaciales se observaron patrones locales en el hemisferio derecho.
Estos resultados corresponden con las investigaciones en niños preescolares, que señalan que los mecanismos debilitados en este trastorno no se limitan a zonas cerebrales únicas (predominantemente corticales anteriores), sino a un sistema de mecanismos neuropsicológicos alterados, que involucran la participación de los diferentes bloques funcionales de acuerdo al enfoque de Luria.19,32
A diferencia de lo encontrado con los niños preescolares de 5 a 6 años de edad con diagnóstico del TDA, en nuestra muestra se han identificado niños con presencia de patrones locales en el hemisferio derecho junto con dificultades espaciales expresivas. Dichos casos no se han encontrado en la población preescolar estudiada, que incluyó 50 niños rusos y 50 mexicanos.38 Al mismo tiempo, tanto en la población preescolar, como escolar predominan casos con rasgos de estado disfuncional a nivel de tronco cerebral (superior o inferior), lo cual se relaciona con patrones bilaterales sincronizados en los registros EEG.44,45 Es interesante notar que en nuestro estudio las dificultades con regulación y control se identifican en niños de la edad escolar con el estado desfavorable de regulación fronto-talámica, mientras que los niños con estado de activación cerebral insuficiente presentan déficit funcional de regulación inespecífica desde el tronco cerebral inferior.44,45 Al mismo queremos señalar que en ningún caso estudiado se ha observado estado local desfavorable en los sectores corticales únicamente frontales, lo cual coincide con los datos obtenidos con la población preescolar.28,38
De acuerdo a los resultados obtenidos, las dificultades que presentaron los niños escolares menores con TDA están relacionadas con el estado funcional deficiente en el sistema de regulación subcortical, así como en el estado disfuncional del hemisferio derecho, lo cual se refleja en las dificultades notorias durante la resolución de las tareas para las funciones espaciales. Las dificultades relacionadas con la activación cerebral no específica, altera la estabilidad durante las ejecuciones de los niños, dicha inestabilidad, se manifiesta en ejecuciones demasiado lentas, fatiga, interrupción constante del trazo o debilidad en el mismo, así mismo se observan micro o macrografías y simplificaciones, esto es, hacer más sencillas las tareas. También se observó la necesidad constante de abandonar la actividad e iniciar otra nueva o más divertida, como juegos. Cuando los niños no acceden al cambio de actividad, es muy común que se muestren muy irritables.
Dichas dificultades también se identificaron durante la evaluación de niños de la edad preescolar, en los cuales no se han observado patrones en la actividad eléctrica cerebral que hubiesen señalado participación del hemisferio derecho. En los estudios previos se ha mostrado que, en todos los niños evaluados de la edad preescolar, se observó la participación de los sistemas regulatorios subcorticales.46-49
Podemos suponer que rasgos de disfuncionalidad de hemisferio derecho se manifiesta con mayor claridad a partir de la edad escolar, mientras que en la edad preescolar es común observar mayormente disfuncionalidad e inmadurez en sistemas de regulación subcortical. La afectación importante de las funciones espaciales en los casos con déficit de atención requiere de inclusión de las tareas específicas durante los programas correctivos.50,51
La debilidad funcional del análisis y síntesis simultáneas se observa en errores notorios de desproporción, distorsión de la forma, desintegración del modelo y ausencia global de la imagen, imposibilidad para comprender oraciones con estructura gramatical compleja, así como dificultades para la consolidación de los planos espaciales izquierda y derecha (3 niños del grupo 4).
La debilidad funcional de programación y control, por su parte, se manifiesta en severas dificultades para programar y controlar la conducta del niño durante la evaluación, a partir de su leguaje propio o del adulto. Así mismo, se observó la nula verificación y corrección de sus ejecuciones. La impulsividad que presentaban estos niños, impedía la regulación por parte del adulto, ya que siempre se anticipaban a la instrucción (6 niños del grupo 1). Es importante señalar que nuestros datos indican que, de acuerdo con los reportes de análisis cualitativo de electroencefalograma, dichos síntomas no se relacionan con patología a nivel frontal cortical, sino con el estado de inmadurez en los sistemas de regulación fronto-talámica.44,45
Durante nuestra evaluación, observamos que el efecto sistémico relacionado con la incapacidad de subordinar la conducta ante la instrucción verbal del adulto, repercute en tareas que evalúan mecanismos que no están alterados. Tal es el caso, de alteraciones en las tareas que evalúan la integración cinestésica, debido a que los niños presentan incapacidad para permanecer tranquilo y con los ojos cerrados, y en contraste, presenta conductas de juego, agitación y lenguaje excesivo. Se pudo observar el efecto sistémico del nivel de funcionamiento no óptimo de regulación subcortical de diversos niveles en el proceso de realización de las tareas de las pruebas. Las tareas que evalúan la integración fonemática se ven afectadas constantemente, debido a que los niños se rehúsan a realizar la repetición, por falta de motivación, o a la irritabilidad que presentan, el cansancio excesivo hace que repitan sólo la primera palabra, sin embargo, una vez motivados logran realizar la tarea de forma correcta. Para las tareas de retención tanto visual como audio-verbal, la lentificación de la tarea repercute en la pérdida de la mitad de la información presentada.
Nuestro análisis concuerda con los estudios en niños preescolares, los cuales señalan que dentro de la compleja estructura de los lóbulos frontales se identifican mecanismos neuropsicológicos debilitados como son programación y control y la organización de los movimientos y acciones.21,47,49,52Así mismo, encontramos alterado el mecanismo de análisis y síntesis espaciales.21,47,49,50,53Al mismo tiempo, en la edad escolar se observan patrones más variables en la evaluación neuropsicológica como en la electroencefalográfica.
Así, el análisis de los casos de niños de la edad escolar con el diagnóstico de TDA permite constatar que en todos los casos se observa el estado funcional inadecuado en los diversos niveles de sistemas de regulación subcortical. Estos rasgos manifiestan inmadurez en los sistemas cerebrales regulatorios profundos. Se ha propuesto que la inmadurez de los sistemas fronto-talámico, se refleja en falta de una integración selectiva y específica de las zonas corticales para el trabajo.28 Se puede pensar que la demora en la formación del control voluntario de la actividad conduce a las dificultades en la programación, el control y la regulación de la actividad del niño que se detectan en la evaluación neuropsicológica y, como consecuencia, habrá problemas en el aprendizaje escolar del niño. Pareciera ser que dicha situación se denomina como “déficit de atención” en el lenguaje del manual diagnóstico y estadístico de los trastornos mentales (DSM-IV TR). Todo el problema es que nuestro estudio señala que no es la única situación observable en niños que reciben este mismo diagnóstico. Nuestro análisis neuropsicológico muestra que la diferencia entre los cuadros clínicos que pueden identificare a partir de evaluación neuropsicológica cualitativa (predominio de dificultades espaciales, de regulación y control o de activación cerebral general) no permite englobar a los niños de acuerdo a la terminología del manual DSM-IV TR. Las variantes observables se refieren al nivel de disfunción de los sistemas de regulación subcortical o de estado funcional de los sistemas corticales particulares (3 casos con estado del hemisferio derecho), así como a tipos de mecanismos cerebrales que subyacen en cada caso particular. Dichas variantes no son consideradas ni pueden ser identificadas a partir de datos conductuales que se obtienen a partir de las entrevistas usuales a los cuidadores o a partir de aplicación de las pruebas psicométricas estandarizadas.
En la literatura se ha sugerido que el daño de las estructuras profundas ocasiona cambios, como el decremento en el ritmo cortical, lo que refleja la desintegración en la conexión cortical, es decir, alteración en los circuitos corti-subcorticales.35 Nuestros datos sugieren que los 7 niños que pertenecen a este grupo mostraron oscilaciones en sus ejecuciones, las cuales, repercutieron en todas las tareas, debido a que las ejecutaron de forma muy lenta, así mismo, conforme avanzaban las tareas se observaba una mayor fatiga, propiciando el deseo de abandonar la tarea y buscar actividades nuevas. De igual forma, es importante señalar que, para este grupo, ya hay características esenciales en sus dibujos, sin embargo, la simplificación en sus ejecuciones altera el dibujo final, de igual forma observamos, micrografías, debilidad en el trazo e interrupción del mismo.
Por otro lado, la disfunción local del hemisferio derecho, corresponde a los hallazgos en los estudios de resonancia magnética, los cuales mencionan que existe una reducción en el volumen de la corteza prefrontal sobre todo en el hemisferio derecho, con la pérdida característica de la asimetría frontal, afectando especialmente a las áreas prefrontal y premotora, lo cual permite esperar severas dificultades regulatorias.54-58 Nuestro análisis reveló que los 3 niños con afectación funcional local en áreas del hemisferio derecho, presentan severos problemas con la imagen global, ya que estos niños, presentaron desintegración total de los modelos, tanto de la secuencia gráfica, como de la copia de la casa y las figuras que evalúan la retención visual. De igual forma, sus dibujos libres se caracterizaron por la ausencia de características esenciales y diferenciales, desproporciones severas y distorsión. Sin embargo, estos niños no han mostrado dificultades típicas en regulación y control de su actividad.
Nuestros resultados demuestran la utilidad de estudios interdisciplinarios al combinar métodos neuropsicológicos como electrofisiológicos en el análisis visual cualitativo, lo cual permite avanzar en el estudio de los mecanismos cerebrales corticales y subcorticales que subyacen al síndrome por déficit de atención en la edad escolar.36,37 Así mismo, el análisis neuropsicológico como el análisis visual del EGG, detectaron señales o indicios de alteración que corresponden a características particulares para ambos tipos de inmadurez en la edad escolar menor.25,59 Diferentes manifestaciones del síndrome por déficit de atención se podrían relacionar con estadios particulares y grados desiguales de inmadurez funcional a diferentes niveles de los sistemas regulatorios cerebrales en periodos específicos en la ontogenia.54
Agradecemos a todos los niños que participaron en este estudio.
Los autores declaran no tener conflictos de interés.
| Recibido: 04 de febrero de 2016 | Aceptado: 15 de agosto de 2016 |
Yulia Solovieva. Facultad de Psicología, Universidad Autónoma de Puebla. Calle 3 Oriente No. 403, Centro Histórico. Puebla, México. Teléfono: +52 2222425370. E-mail: yulia.solovieva@correo.buap.mx
Este es un artículo de libre acceso distribuido bajo los términos de la licencia de Creative Commons, (http://creativecommons.org/licenses/by-nc/3.0), que permite el uso no comercial, distribución y reproducción en algún medio, siempre que la obra original sea debidamente citada.